Header image  

internetové vydanie

Najnovšie malé oznamy a aktuality

 
  
 Tehnicki pregled Auto MBC - Padina
 
 


Tehnicki pregled Auto MBC - Padina

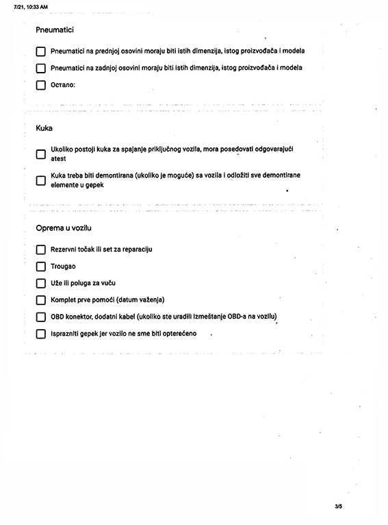
V Padine na ulici Jána Cajaka 15 pracuje technická prehliadka vozidiel Auto MBC . Pracovný cas im je pracovným dnom od pondelka do piatka od 7-15h . Technická prehliadka sa zakazuje vopred a to osobne, alebo na tel.císlo 013/668-200 . Co Vám je potrebné pre technickú prehliadku môžete si pozriet na obrázku1 , obrázku2 , obrázku3 , obrázku4 , obrázku5 . Výhlad budovy technickej prehliadky si môžete pozriet na obrázku .

tehnicki-1

tehnicki-2

tehnicki-3

tehnicki-4

tehnicki-5

tehnicki zgrada